乐天使官网-追求健康,你我一起成长
官网首页
走进乐天使
≡
董事长致辞
集团简介
发展历程
乐天使文化
集团荣誉
集团成员
员工风采
新闻公告
≡
集团动态
集团刊物
产品中心
≡
医药产业
动保产业
科技创新
≡
科研平台
技术协作
科研成果
可持续发展
≡
绿色发展
集团投资
社会责任
≡
慈善公益
安全生产
投资者关系
≡
临时公告
定期报告
投资者互动
加入乐天使
≡
人才理念
薪酬福利
招聘信息
联系我们
乐天使供应商门户
English
走进乐天使
董事长致辞
集团简介
发展历程
乐天使文化
集团荣誉
集团成员
员工风采
新闻公告
集团动态
集团刊物
产品中心
医药产业
动保产业
科技创新
科研平台
技术协作
科研成果
可持续发展
绿色发展
集团投资
社会责任
慈善公益
安全生产
投资者关系
临时公告
定期报告
投资者互动
加入乐天使
人才理念
薪酬福利
招聘信息
联系我们
乐天使供应商门户
EN
当前位置:产品中心
guobang
产品中心
立人立国 兴业兴邦
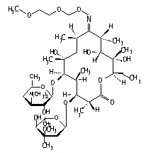
罗红霉素
中文名称:罗红霉素
英文名称:Roxithromycin
CAS NO:80214-83-1
分子式:C
41
H
76
N
2
O
15
包装规格:25kg/桶 10kg/桶
【
返回主目录
】
关联产品
名称
查看详细
阿奇霉素
查看详细
克拉霉素
查看详细
2条记录 第1页
跳转至
页